용인 둔전역 에피트 평면도 동호수 배치 알아보기
안녕하세요. 오늘은 용인 둔전역 에피트의 타입별 평면도 및 동호수 배치도에 대해서 알아보겠습니다. 다른 포스팅에서 이미 용인 둔전역 에피트의 청약에 대한 모든 정보에 대해서 포스팅을 하였는데요.
자세한 청약 일정, 분양가 등을 알아보실 분들은 위의 버튼을 통해 확인 하실 수 있습니다.

에피트 공급 세대정보 및 분양가

용인 두전역 에피트 청약 분석
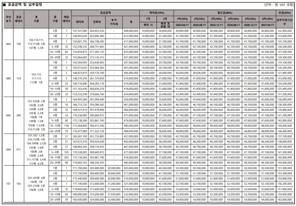
용인 둔전역 에피트는 전용면적 68㎡, 84㎡, 101㎡의 3가지 평형으로 구성되어 있으며, 총 1,275세대가 공급될 예정입니다. 각 평형은 A, B 타입으로 나뉘어 다양한 선택지를 제공합니다.

공급 세대수
- 68A: 149세대
- 68B: 124세대
- 84A: 366세대
- 84B: 471세대
- 101: 165세대
분양가
- 68A: 4억 800만 원 ~ 4억 3천1백만 원 (발코니 확장비: 2천3백만 원)
- 68B: 3억 9천7백만 원 ~ 4억 2천4백만 원 (발코니 확장비: 2천3백만 원)
- 84A: 4억 5천6백만 원 ~ 4억 8천8백만 원 (발코니 확장비: 2천7백만 원)
- 84B: 4억 5천7백만 원 ~ 4억 8천3백만 원 (발코니 확장비: 2천7백만 원)
- 101: 5억 5천만 원 ~ 5억 4천만 원 (발코니 확장비: 3천2백만 원)
용인 둔전역 에피트 동호수 배치도 알아보기
용인 둔전역 에피트의 동호수 배치도는 아래와 같습니다.

타입별 평면도
68A: 149세대
- 전용면적 : 68.9571㎡
- 공용면적 : 25.1474㎡
- 공급면적 : 94.1045㎡
- 계약면적 : 141.0997㎡

68B: 124세대
- 전용면적 : 68.971㎡
- 공용면적 : 24.9627㎡
- 공급면적 : 93.9337㎡
- 계약면적 : 140.9384㎡

84A: 366세대
- 전용면적 : 84.9856㎡
- 공용면적 : 24.871㎡
- 공급면적 : 109.5566㎡
- 계약면적 : 167.4755㎡

84B: 471세대
- 전용면적 : 84.9356㎡
- 공용면적 : 25.2608㎡
- 공급면적 : 110.1964㎡
- 계약면적 : 168.0812㎡

101: 165세대
- 전용면적 : 101.9716㎡
- 공용면적 : 27.0153㎡
- 공급면적 : 128.9869㎡
- 계약면적 : 198.482㎡

오늘은 용인 둔전역 에피트 타입별 평면도 및 동호수 배치도 알아보았습니다. 청약일까지 얼마 남지 않았기 때문에 원하시는 청약계획 잘 세우셔서 꼭 당첨되시길 바랍니다.
'재테크 공부하기' 카테고리의 다른 글
| 서울 성동구 행당동 라체르보 푸르지오 써밋 청약 정보 및 분석 (0) | 2024.08.24 |
|---|---|
| 서울 서초구 방배동 디에이치 방배 평면도 동호수 배치 알아보기 (1) | 2024.08.24 |
| 서울 구로구 개봉동 개봉루브루 아파트 청약 정보 및 심층 분석 (1) | 2024.08.23 |
| 엠83, 코스닥 입성 첫날 39.38% 상승 성공적인 데뷔 (0) | 2024.08.23 |
| 전세사기 특별법 개정안: 전세사기 피해자 지원 강화 및 주거안정 방안 (0) | 2024.08.21 |
댓글